Sie sind hier:
  • Bildungssenatorin Renate Jürgens-Pieper sieht leichten Aufwärtstrend

Der Senator für Kinder und Bildung

Bildungssenatorin Renate Jürgens-Pieper sieht leichten Aufwärtstrend

05.10.2012

Das Institut zur Qualitätsentwicklung im Bildungswesen (IQB) hat heute (05.10.2012) in Berlin die Ergebnisse des Ländervergleichs der Grundschulen in Deutsch und Mathematik veröffentlicht. „Für Bremen gibt es keinen Grund zum Jubeln, aber Anlass für etwas Zuversicht, da erstmalig in Mathematik der Platz 16 verlassen werden konnte. Die Anstrengungen unserer Lehrkräfte zeigen erste Erfolge. Wir sind mit unseren wissenschaftlich begleiteten Fortbildungsmaßnahmen auf dem richtigen Weg. Im Fach Deutsch müssen wir noch zulegen“, kommentierte Bildungssenatorin Renate Jürgens-Pieper die Ergebnisse des Ländervergleichs.

Wie und was wurde getestet?
Die jetzt vorgelegten Ergebnisse sind Auswertungen der Tests, die 1800 Schülerinnen und Schüler im Land Bremen aus zufällig ausgewählten vierten Klassen an insgesamt 92 Grundschulen absolviert haben. Bundesweit haben 30 000 Schülerinnen und Schüler teilgenommen.
Im Fach Mathematik wurden alle fünf in den Bildungsstandards beschriebenen Kompetenzbereiche – Zahlen und Operationen, Raum und Form, Muster und Strukturen, Größen und Messen sowie Daten, Häufigkeit und Wahrscheinlichkeit – getestet. Im Fach Deutsch die Bereiche Lesen und Zuhören. Die Leistungen in Orthographie wurden ohne detaillierte Länderauswertung gemessen.

Der Ländervergleich im Überblick
Die Tabelle der durchschnittlich erreichten Leistungen in den Fächern Deutsch und Mathematik zeigt, dass Bremer Schülerinnen und Schüler wie in den vergangenen Jahren vergleichsweise schwache Ergebnisse erzielen. Im Ranking der Bundesländer belegen sie im Fach Deutsch sowohl im Bereich Lesen als auch im Bereich Zuhören mit einem Punktwert von 463 bzw. 467 den 16. Platz. Im Fach Mathematik erreichen Bremer Schülerinnen und Schüler durchschnittlich 452 Punkte und kommen damit erstmalig auf den 15. Platz vor Berlin.

Der Abstand Bremens zum Spitzenreiter Bayern beträgt im Lesen 52 und im Zuhören 46 Punkte. Diese Punktdifferenz entspricht einem Kompetenzunterschied von etwa einem dreiviertel Schuljahr. In Mathematik beträgt der Leistungsvorsprung Bayerns 67 Punkte, das entspricht einem Kompetenzunterschied von etwas weniger als einem Schuljahr.

Die Heterogenität der Leistungen unterscheidet sich zumindest für den Bereich Lesen nicht nennenswert vom Bundesdurchschnitt. Auffallend ist für den Bereich Zuhören, dass die Leistungsspitze in Bremen ähnliche Punktwerte wie die leistungsstarken Schülerinnen und Schüler der anderen Länder erreicht. Auch in Mathematik wurde eine große Heterogenität der Leistungen der Bremer Viertklässlerinnen und Viertklässler festgestellt.

Die Verteilung der Bremer Schülerinnen und Schüler auf die unterschiedlichen Kompetenzstufen stellt sich wie folgt dar:

Die Ergebnisse zeigen, dass im Kompetenzbereich Lesen in allen Ländern mehr als die Hälfte der Schülerinnen und Schüler mindestens den von der KMK definierten Regelstandard erreicht hat (Kompetenzstufe III und höher). Diese Quote variiert jedoch zwischen weniger als 60 Prozent in den Stadtstaaten und mehr als 70 Prozent in Mecklenburg-Vorpommern, Thüringen, Sachsen, Bayern und Sachsen-Anhalt. Der Anteil der Schülerinnen und Schüler, deren Kompetenzen im Lesen nicht dem Mindeststandard entsprechen, liegt zwischen mehr als 20 Prozent in Bremen und Berlin und weniger als 10 Prozent in Thüringen, Bayern, Mecklenburg-Vorpommern, Sachsen-Anhalt und Sachsen. Auf der höchsten Kompetenzstufe befinden sich in Bayern mehr als 15 Prozent, in Hamburg, Berlin und Bremen weniger als 10 Prozent der Schülerinnen und Schüler. Im Kompetenzbereich Zuhören ist der Anteil der Schülerinnen und Schüler, deren Kompetenzen dem Regelstandard entsprechen, insgesamt höher als im Kompetenzbereich Lesen und die Verteilung variiert zwischen den Ländern etwas weniger stark. Der Anteil der Kinder, die mindestens den Regelstandard erreichen (Kompetenzstufe III und höher), liegt zwischen weniger als 65 Prozent in Bremen und Berlin und mehr als 75 Prozent in Niedersachsen, Sachsen, Mecklenburg-Vorpommern, Schleswig-Holstein, Baden-Württemberg und Bayern. In keinem Land verfehlen mehr als 16 Prozent der Schülerinnen und Schüler die Mindeststandards; der Anteil variiert zwischen rund 10 bis 15 Prozent im Saarland, in Hamburg, Bremen und Berlin einerseits und weniger als rund 7 Prozent in Thüringen, Mecklenburg-Vorpommern, Schleswig-Holstein, Bayern, Baden-Württemberg und Sachsen andererseits.

Im Bereich Mathematik schließlich variiert der Anteil der Schülerinnen und Schüler, die mindestens den Regelstandard erreichen (Kompetenzstufe III und höher), besonders stark. In Bremen und Berlin konnte nur jeweils etwa die Hälfte der Viertklässlerinnen und Viertklässler in Mathematik Kompetenzen nachweisen, die mindestens dem Regelstandard entsprechen; in Baden-Württemberg, Sachsen-Anhalt, Sachsen und Bayern sind es hingegen zwischen rund 73 und 77 Prozent. Besonders groß fallen die Länderunterschiede in Bezug auf den Anteil der Kinder aus, die den Mindeststandard verfehlen. Dieser variiert zwischen mehr als 25 Prozent in Berlin und Bremen einerseits und 10 Prozent oder weniger in Baden-Württemberg, Sachsen-Anhalt, Bayern und Sachsen. Kompetenzen, die der höchsten Kompetenzstufe entsprechen, zeigten schließlich unter 10 Prozent der Kinder in Bremen und Berlin und rund 21 Prozent der Kinder in Sachsen, Bayern und Sachsen-Anhalt.

Weitere Analysen zu herkunftsbedingten Unterschieden

Sozioökonomische Voraussetzungen

Zusätzlich zu den Kompetenztests wurden im Rahmen der Erhebungen Fragebögen für Schülerinnen und Schüler, deren Eltern sowie Lehrkräfte und Schulleitungen eingesetzt. Die Daten geben Hinweise zu den Rahmenbedingungen schulischen Lernens. Darauf basierende ergänzende Analysen ermöglichen eine bessere Einordnung der Testergebnisse.
In allen Bundesländern besteht ein stark ausgeprägter Zusammenhang zwischen dem sozialen Hintergrund und den erworbenen Kompetenzen. Das Ausmaß dieses sozialschichtbedingten Kompetenzgefälles ist je nach Bundesland allerdings unterschiedlich, in Bremen jedoch besonders hoch.

Zuwanderungsgeschichte
Ein deutlicher Leistungsabstand besteht ferner zwischen Jugendlichen mit und ohne Migrationshintergrund. Vor allem jene Kinder mit zwei im Ausland geborenen Elternteilen schneiden sowohl in Deutsch als auch in Mathematik schlechter ab als ihre Mitschülerinnen und Mitschüler ohne Zuwanderungsgeschichte. Wie in den beiden anderen Stadtstaaten sind entsprechende migrationsbedingte Leistungsgefälle auch für Bremer Kinder deutlich erkennbar.

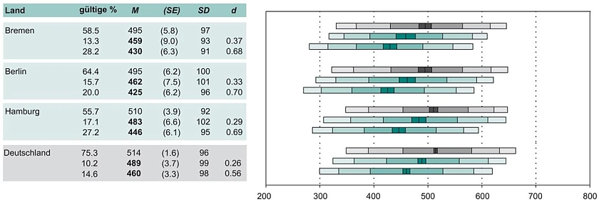
Mittelwerte, Streuungen und Perzentilbänder der Kompetenzverteilungen im Bereich Zuhören nach Zuwanderungshintergrund und Land

Mittelwerte, Streuungen und Perzentilbänder der Kompetenzverteilungen im
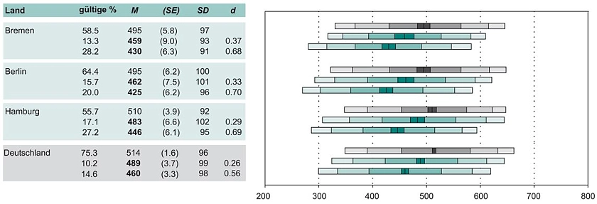
Bereich Lesen nach Zuwanderungshintergrund und Land

Mittelwerte, Streuungen und Perzentilbänder der Kompetenzverteilungen im
Fach Mathematik nach Zuwanderungshintergrund und Land

Die Graphiken zeigen, wie sich die Leistungsverteilung von Kindern ohne Migrationshintergrund, Kindern mit einem und Kindern mit zwei im Ausland geborenen Elternteilen unterscheiden. In Bremen erzielen Kinder ohne Migrationshintergrund in der Lesekompetenz einen Mittelwert von 495 Punkten, Kinder, deren Eltern beide im Ausland geboren wurden, erreichen 430 Punkte. Aus anderen Untersuchungen ist bekannt, dass ein solcher Leistungsrückstand ungefähr dem Lernzuwachs eines Schuljahres (Klasse 3 nach Klasse 4) entspricht. Diese Leistungsgefälle lassen sich jedoch zu einem nennenswerten Anteil auf das elterliche Bildungsniveau und den sozialen Status zurückführen.

Warum ist es im Land Bremen so schwer, Leistungsverbesserungen zu erreichen?
Bremen hat im Bundesländervergleich 2010 den höchsten Anteil von Kindern, die in Armut oder in einem tendenziell bildungsfernen Haushalt aufwachsen. Fast jedes dritte Kind ist von der Risikolage Armut betroffen, jedes vierte Kind wächst in einem Elternhaus auf in dem kein Elternteil über eine Berufsausbildung oder das Abitur verfügt.

Kinder im Alter von unter 18 Jahren 2010 nach Risikolagen in der Familienform im Ländervergleich

Im Vergleich zu 2008 hat sich in Bremen der Anteil an Kindern, die der Armut ausgesetzt sind, aufgrund der positiven Wirtschaftsentwicklung zwar etwas verringert und folglich ist auch der Anteil an Kindern, die einer der drei dargestellten Risikolagen ausgesetzt sind, etwas gesunken, aber dieser Trend zur Verbesserung der wirtschaftlichen Lage der Elternhaushalte fällt deutlich hinter die Entwicklungen im Bund zurück.
Besonders besorgniserregend ist, dass die Kumulation aller drei Risikolagen trotz dieser leichten wirtschaftlichen Verbesserung weiterhin zugenommen hat und 2010 mit 12 Prozent sogar mehr Kinder von allen drei Risikolagen betroffen sind als noch 2008 mit 10 Prozent. Diese besondere Risikogruppe ist weiterhin im Bundesvergleich am höchsten. Zum Vergleich: In Bayern beträgt sie 1,7 Prozent, in Baden-Württemberg 1,8 Prozent.

Welche Maßnahmen zur Leistungsverbesserung in Mathematik und Deutsch haben die getesteten Viertklässler in den Schulen erreicht?
Neben den seit Jahren in den Grundschulen angewandten Fördermaßnahmen wie Leseclubs, Lese-Rechtschreibkursen, Vorkursen für Kinder mit Migrationshintergrund hat eine neue Maßnahme begonnen, die systematisch ausgeweitet wird. Die „Offensive Bildungsstandards“ begann an Grundschulen im Schuljahr 2010/2011 und wenige Monate vor der Testung. Zunächst hat die Hälfte aller Grundschulen teilgenommen. Ziel war und ist es, all jene Grundschülerinnen und Grundschüler zu erreichen, bei denen die Gefahr besteht und bestand, dass sie zum Ende der Klasse 4 die Mindeststandards nicht erfüllen würden.

Maßnahmen waren unter anderem:

  • Die Erhöhung der Lernzeit in den Fächern Mathematik und Deutsch bei Schulen in kritischer Lage durch die Nutzung von Überhangstunden (2 Stunden pro Fach).
  • Materialsammlung mit Aufgaben in Mathematik und Deutsch, die auf den Bildungsstandards beruhen und von Lehrerinnen und Lehrern im Unterricht eingesetzt werden.
  • Die Einrichtung von schulübergreifenden Fachkonferenzen und die Etablierung von Fachsprecherinnen und -sprechern in den Fächern Deutsch und Mathematik. Die Konferenzen planen den Fachunterricht standardorientiert gemeinsam und nehmen an Fortbildungen teil.
  • In den schulübergreifenden Fachkonferenzen wurden Erfahrungen bei der Umsetzung der Standards im Unterricht und besonders gelungene Unterrichtspraxis vorgestellt.

Spezielle Maßnahmen im Fach Mathematik:
Im Schuljahr 2010/11 sind die Lehrkräfte der 4. Jahrgangsstufe zu drei schulübergreifenden Fortbildungsveranstaltungen eingeladen worden mit den folgenden Themen:

  • „Wahrscheinlichkeiten“
  • „Problemhaltige Sachaufgaben“
  • „Gute Aufgaben in der Arithmetik“

Die Veranstaltungen wurden mit didaktischem und Unterrichtsmaterial für die behandelten Themenfelder unterstützt.

Maßnahmen der Sprach- und Leseförderung – was sagt die Studie?
Sprach- und Lesekompetenzen werden in besonderem Maße in der Familie erworben. Die Kompetenzentwicklung ist dabei abhängig von den Lerngelegenheiten, die in sozial schwachen Familien oft sehr eingeschränkt sind. Für Schülerinnen und Schüler mit Zuwanderungshintergrund können zusätzlich auch die Möglichkeiten des Zugangs zur deutschen Sprache begrenzt sein.

In der Studie wurden die Schulleitungen zur Sprach- und Leseförderung befragt:

  • In Bremer Grundschulen ist der Anteil derjenigen Schülerinnen und Schüler, die eine Schule besuchen, in der ein Sprachförderbedarf mit Hilfe standardisierter Tests bestimmt wird, mit rund 80 Prozent am höchsten (Durchschnitt: 57,4 Prozent). Darüber liegt nur Berlin mit 86,5 Prozent (Hamburg 79 Prozent).
  • In Bremen haben über 90 Prozent aller Schülerinnen und Schüler Zugang zu Förder- oder Zusatzkursen, die allgemein im Fach Deutsch oder speziell für lese- und rechtschreibschwache Kinder angeboten werden. Dabei nimmt Bremen im Bereich der Förderung der Lesehäufigkeit mit 93,7 Prozent einen Spitzenplatz ein, gefolgt von Bayern in einem großen Abstand mit 56,3 Prozent.

  • Insgesamt deutlich weniger verbreitet sind in allen untersuchten Ländern spezielle Programme zur Förderung der Lesekompetenz (Förderung des Leseverständnisses, der Leseflüssigkeit oder der phonologischen Bewusstheit). In der Gruppe der Kinder, die im Fach Deutsch schwache Leistungen erzielen (höchstens Kompetenzstufe II), liegt der Verbreitungsgrad bundesweit bei 31 Prozent. Bremen liegt mit 36,6 Prozent im oberen Drittel.

  • In Bremen haben 60,8 Prozent der Kinder, die die Regelstandards nicht erreichen, in ihrer Schule Zugang zu systematischer Sprachförderung, die im Regelunterricht stattfindet. Ein größeres Angebot wird nur in Hamburg (66,5 Prozent)gemacht.

  • Innerhalb der Gruppe, die höchstens Kompetenzstufe II erreichen (Mindeststandard), liegt der Anteil derjenigen, die eine Schule mit vorgegebenen oder selbstentwickelten Sprachförderkonzepten besuchen, in Bremen, Berlin, Hamburg und Nordrhein-Westfalen mit mehr als 40 Prozent am höchsten.

Ergebnis: Die Schülerinnen und Schüler in den Bremer Grundschulen haben einen systematischen Zugang zur Sprach- und Leseförderung in ihren Schulen - unabhängig vom erreichten Kompetenzniveau. Das zeigt, es wird viel getan. Sprachbildungskonzepte an den Schulen können noch verbessert werden. Sprachberaterinnen und Sprachberater in jeder Grundschule arbeiten derzeit systematisch daran.

Fazit von Bildungssenatorin Renate Jürgens-Pieper:
„Es wird auch in Zukunft keine schnellen Erfolge geben. Leistungsverbesserungen brauchen einen langen Atem, Geduld und Zielstrebigkeit.
Die Ausgangsbedingungen in Bremen sind deutlich schlechter als in allen anderen Bundesländern. Hauptrisikofaktor für schlechte Lernergebnisse ist die Bildungsferne von Elternhäusern.
Zur Einordnung dieser Ergebnisse ist aber auch zu sagen, dass über 60 Prozent der Bremer Schülerinnen und Schüler in Lesen über dem Regelstandard liegen, den die Kultusministerkonferenz der Länder vorgegeben hat und 10 Prozent auf dem höchst erreichbaren Niveau, allerdings auch 20 Prozent unter Mindeststandard. Damit liegen wir auf gleichem Niveau wie die anderen Stadtstaaten und im Großstädtevergleich. Dies zeigt die besonders großen Herausforderungen, die auch besondere Rahmenbedingungen erfordern, um besser zu werden.“